北京氟乐邦表面活性剂技术研究所

Beijing FLUOBON Surfactant Institute

 
 

加入收藏   English

 

         首  页 新闻动态 产品展示 技术服务 氟乐邦化学 应用交流 人才招聘 联系我们

 

产品展示 Product Show

 特殊化学试剂

 

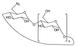
1)  叠氮-β-环糊精

 

 

                  

                  β-CD-N3 构示意图

 

    是常用的β-环糊精衍生物,本身既可以发生click 反应,也可以还原为β-CD-NH2

    行生物分子修饰,常用于主客体识别研究。

2)  Boc 保护乙二胺

 

                     

                    Boc-NHCH2CH2NH2

 

    该化合物是一个不对称化合物,常用于有机合成,Boc 作为保护基团,在碱性条件下稳

    定而在酸性条件下水解。

3)  壬二酸氢甲酯

             

    该化合物也是一个不对称化合物,用于有机合成

4)  其它

    根据用户要求定制

   

 

 
FLUOBON    联系我们 Contact Us                          Copy©2007 FLUOBON Surfactant Institute          ICP